


引领药物研发与定量药理学
专业咨询
Drug Development and Pharmacometrics Leadership
近日,上海强世信息科技有限公司(以下简称“上海强世”)参与完成的研究成果《Population Pharmacokinetics of Serplulimab and Quantitative Assessment of Transitioning From Weight-Based to Flat-Dosing Strategy》已在国际定量药理学期刊 CPT: Pharmacometrics & Systems Pharmacology正式发表。
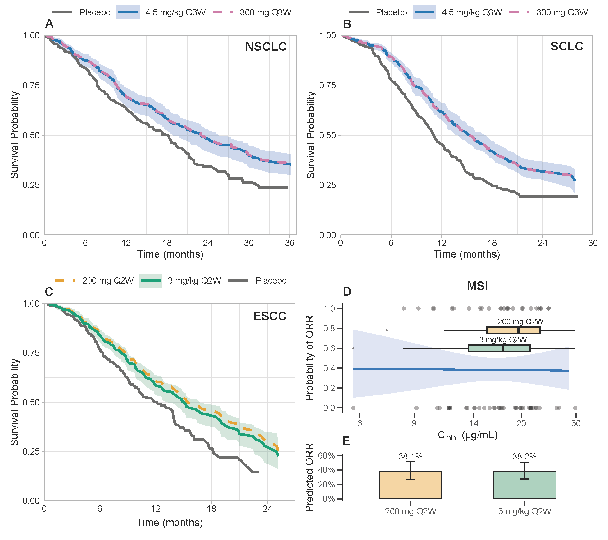
研究围绕PD-1 单抗斯鲁利单抗(Serplulimab,HLX10)的人群药代动力学特征与给药策略优化展开,基于大规模临床数据,系统评估了从体重给药(Weight-Based)向固定剂量给药(Flat-Dosing)转变的科学依据。
在肿瘤免疫治疗中,固定剂量给药因流程更简化、计算更少、临床更易执行而受到关注。然而,该策略是否能够在不同体重人群中维持一致的药物暴露水平,以及是否对疗效与安全性产生影响,仍需扎实的定量证据支持。本研究正是聚焦这一关键问题,提供了可量化、可落地的科学依据。
上海强世与复宏汉霖团队协力合作,整合多项临床研究数据,构建了斯鲁利单抗群体药代动力学(PopPK)模型,并通过模拟对比不同给药方案下的暴露水平及其波动情况,进一步结合暴露-反应(E-R)框架,从疗效与安全性角度评估给药策略切换的可行性。 核心方法亮点包括: • 基于大样本的非线性混合效应建模,刻画人群PK特征。 • 系统筛选协变量,评估体重、白蛋白等因素对药物暴露的影响程度 • 通过模拟对比固定剂量与体重给药在不同体重区间的暴露差异 • 结合 E-R 分析,评估暴露变化是否对疗效与安全性产生临床影响 研究结果表明,在推荐剂量范围内,固定剂量给药方案在不同体重人群中可实现与按体重给药相当的药物暴露水平。同时,主要协变量对暴露的影响整体有限,为临床采用“统一剂量、简化流程”的给药策略提供了关键的定量证据支持。 从临床与运营角度看,固定剂量给药策略有望带来多方面收益: • 减少体重测量与剂量计算步骤,降低操作复杂性与人为误差风险 • 提升配制与给药效率,优化临床工作流 • 推动用药规范化与可及性,提高治疗可及性与一致性 作为专注于药物研发与定量药理学的专业咨询机构,上海强世长期运用先进的建模与模拟技术,为企业在临床开发、剂量选择与申报沟通等关键环节提供科学决策支持。 上海强世信息科技有限公司专注于定量药理学、临床药理建模与仿真(M&S)服务,为全球药企提供从早期研发到上市后研究的全周期解决方案。公司成立至今,已成功支持多项创新药的中美双报,助力药物研发企业加速产品上市进程。此次同医药企业合作取得的成果,再次彰显了上海强世在行业内的技术领先地位和专业服务能力。 题目:Population Pharmacokinetics of Serplulimab and Quantitative Assessment of Transitioning From Weight- Based to Flat- Dosing Strategy 期刊:CPT: Pharmacometrics & Systems Pharmacology, 2026; 15:e70204 作者单位:上海强世信息技术有限公司、上海复宏汉霖生物技术股份有限公司 了解更多信息,请访问:www.shcscc.com

媒体联络:admin@shcscc.com | 电话 400-102-3201
地址:上海市浦东区张杨路707号生命人寿大厦3201A
电话:400-102-3201
[定量药理] 上海强世参与斯鲁利单抗给药策略研究:定量评估支持由体重给药向固定剂量转换
2026-04-02
[定量药理] 上海强世参与发表众生睿创抗流感新药昂拉地韦定量药理学研究成果
2025-10-24
[定量药理] 上海强世与复宏汉霖在《Clin Transl Sci》杂志共同发表 SCLC 领......
2025-09-12
[定量药理] 上海强世助力百济神州,推动替雷利珠单抗新剂量方案的临床应用
2025-04-28
[定量药理] 上海强世助力海思科完成创新镇痛药Anrikefon(HSK21542)的定量药理......
2025-02-07